Home | About Us | Declaration | Honor | Products | News | Equipment | Plant | Order | Contact Us | 中文版
Products List     
>>>
F series parallel shaft - helical g...
   > F series (picture)
   > F series structure type explan...
   > F series machine model represe...
   > F series installation form leg...
   > F series selection parameter t...
   > F - Series mounting structure ...
>>>
R series helical gear reducer motor
   > R Series (Pictures)
   > R Series Structure Type Descri...
   > R series machine model represe...
   > R series installation form leg...
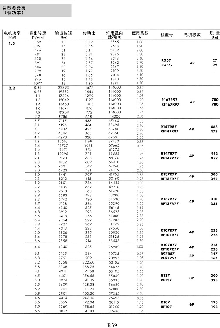
   > R series selection parameter t...
   > R series installation structur...
>>>
S series helical gear - worm gear m...
   > S Series (Pictures)
   > S series structure type explan...
   > S series machine model represe...
   > S series installation form leg...
   > S series selection parameter t...
   > S - Series mounting structure ...
>>>
K series helical gear - spiral beve...
   > K Series (picture)
   > K series structure type explan...
   > K series machine model represe...
   > K series installation form leg...
   > K series selection parameter t...
   > K - Series mounting structure ...
>>>
Cycloid reducer
   > Product Image
   > Structure Description
   > Selection instructions
   > Use and lubrication requiremen...
   > Supporting Instructions
>>>
Hardened reducer
   > Product Image
   > Structure Description
   > Shape and installation dimensi...
   > Bearing capacity of reducer
   > Use and lubrication requiremen...
>>>
frame
   > Product Image
>>>
DBY-DCY series of cylindrical gear ...
   > Product Image
   > Product manual
   > Size, assembly size, load capa...
   > Lubrication of reducer
   > Installation, use and maintena...
   > The choice of reducer
   > Rated input and output torque
   > Appendix
>>>
ZLYJ plastic rubber extruder reduce...
   > product description
   > ZLYJ plastic rubber extruder r...

 


Contact Us
Add:No.12 Jinye Road Industrial Qian Huang Town Changzhou City
Tel:0519-86517325 86517326
Fax:0519-86517328
Code:213172
Web:http://www.czdisar.com
E-mail:disaixiaoshou@163.com
 
·Products--
 
ALL:70 PAGE
CURRENT33 PAGE
PAGE
  Copyright:Jiangsu Disai Speed Reducer Co.,Ltd. 

Add:No.5 Jinye Road Industrial Qian Huang Town Changzhou City
  [Admin]